Ответы
Ответ дал:
0
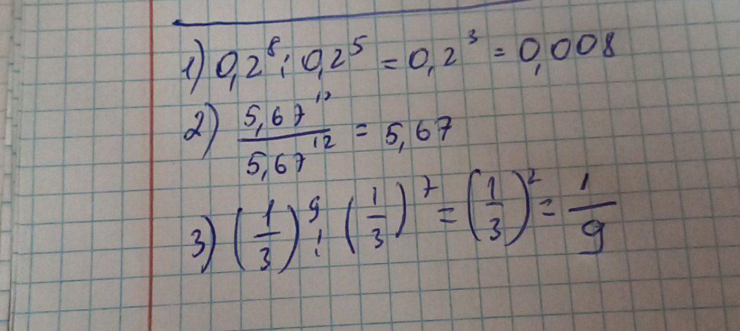
Ответ: вот надеюсь там всё понятно
Пошаговое объяснение:
Приложения:

Ответ дал:
0
Пошаговое объяснение:
1) 0,2^8 : 0,2^5 = 0,2^8-5 = 0,2^3 = 0,008
2)5,67^13-12 = 5,67^1 =5,67
3)(1/3)^9-7 = (1/3)^2 = 1/9
Вас заинтересует
1 год назад
1 год назад
1 год назад
1 год назад
3 года назад
3 года назад
8 лет назад