• Предмет: Математика
  • Автор: Аноним
  • Вопрос задан 2 года назад

ДАЮ 100 БАЛІВ ПЖПЖПЖП

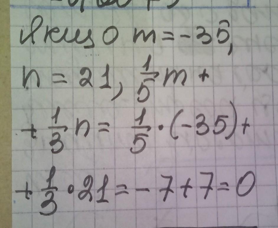
Знайдіть значення виразу 1/5m + 1/3n, якщо m=-35, n=21
з ПоЯСНИНЯМ ​

Приложения:

Ответы

Ответ дал: manyny06
16

Ответ:

решение смотри на фотографии

Приложения:

Аноним: дякую, люблю люблю
Аноним: дякую, люблю люблю
Аноним: а як тут давати відповіді
shigibaevams: не правильно
Ответ дал: OblivionFire
11

Ответ:

0

Пошаговое объяснение:

.................................

Приложения:

erdarnurbaev: это какои вообще класс
erdarnurbaev: я не понимаю
erdarnurbaev: я 4з класс
Аноним: не правильно я получила 2 пошёл нах5
Аноним: жду бан
Вас заинтересует