• Предмет: Алгебра
  • Автор: pomakoy553
  • Вопрос задан 2 года назад

нужно разделить уголком​

Приложения:

Ответы

Ответ дал: KingArtur1000
0

Подробности на фото.

Вот...

Приложения:
Ответ дал: kamilmatematik100504
1

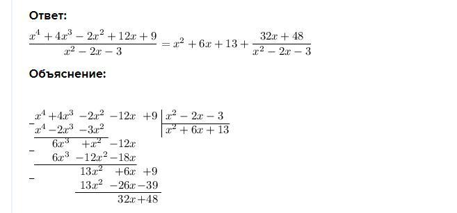
Ответ:

\dfrac{x^4 +4x^3 -2x^2 +12x+9 }{x^2 - 2x-3} =x^2 + 6x + 13 + \dfrac{32x+48}{x^2 -2x -3}

Объяснение:

\arraycolsep=0.05em\begin{array}{c c c c r r @{\;}l | l}& x^4 & +4x^3 & -2x^2 & -12x &+9 & & \;x^2-2x-3 \\\cline{1-1}\cline{8-8}~ &x^4  & -2x^3 &-3x^2  & & & & \; x^2 +6x+13\\\cline{2-4} &  &6x^3 &+x^2  &-12x    \\\cline{1-1} &  &6x^3  & -12x^2 & -18x &  \\\cline{2-5}\cline{3-3} &    & & 13x^2 &+6x &+9  \\ \cline{1-1 }     & &  &13x^2  &-26x   &-39\\ \cline{4-6} & & & &32x &+48  \\\end{array}

Приложения:
Вас заинтересует