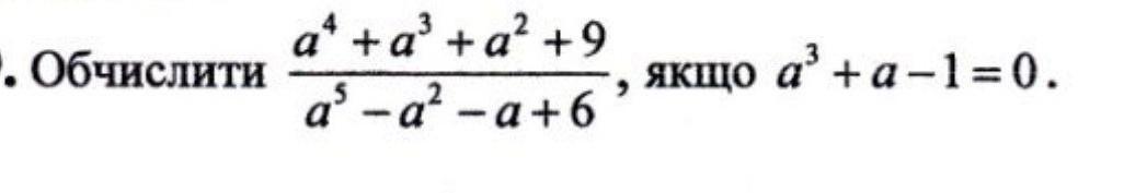
Допоможіть будь ласка я знаю що даю мало балів але в мене більше немає там треба дати повну відповідь з розв'язанням:(
Приложения:

Ответы
Ответ дал:
1
(закреслені числа взаємознищуються)
Приложения:

alinname0ww:
Дякую велике!!!
Вас заинтересует
1 год назад
1 год назад
1 год назад
1 год назад
8 лет назад