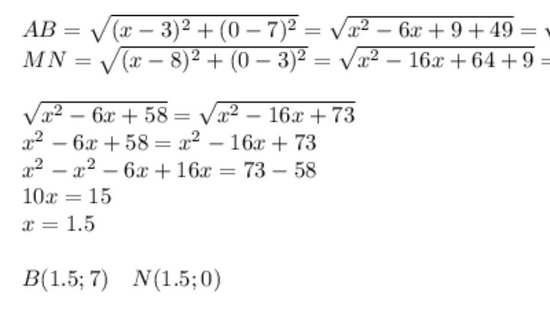
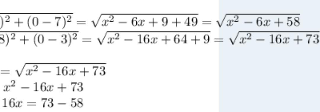
Даны точки A(3;0); B(x;4); M(7;3) и N(x;0).
Найди значение x и напиши координаты B и N, если расстояние между точками A и B такое же, как между точками M и N.
если это необходимо округли результат до тысячных
Ответы
Ответ дал:
1
Объяснение:
вот как то так в основном корень играет главную роль
Приложения:


Вас заинтересует
1 год назад
1 год назад
1 год назад
1 год назад
3 года назад
3 года назад
8 лет назад