• Предмет: Алгебра
  • Автор: fgood1211
  • Вопрос задан 2 года назад

жржпжпжпжп посогмтепрр​

Приложения:

Ответы

Ответ дал: manyny06
1

Ответ:

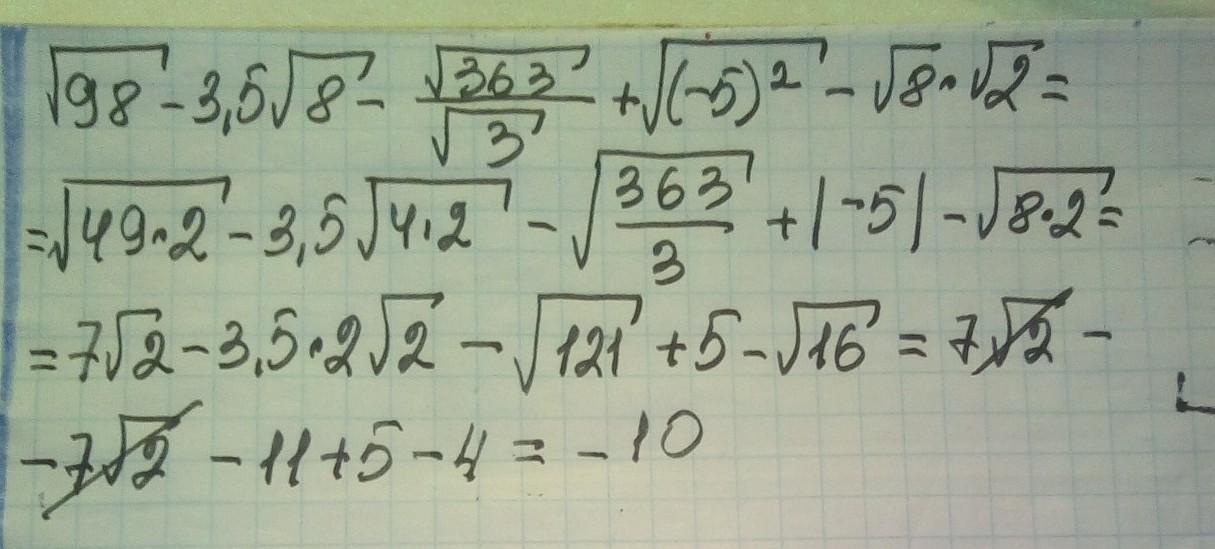
решение смотри на фотографии

Приложения:

fgood1211: СПАСИБОООООООООООШ
Вас заинтересует