Ответы
Ответ дал:
0
а) y=(8^2-2y^2)
б)2a(4a^2-b^2)
б)2a(4a^2-b^2)
Ответ дал:
0
под В точно 63?
Ответ дал:
0
Точно
Ответ дал:
0
-7m(9n^2-4m^2)
Ответ дал:
0
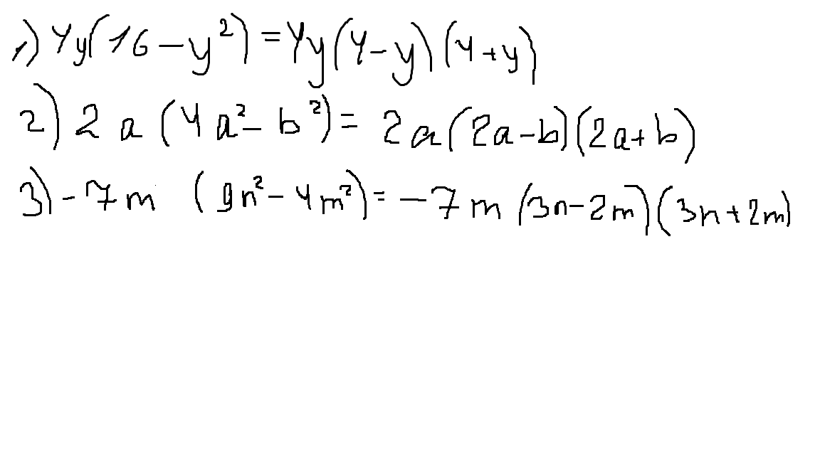
Получится вот так :)
Приложения:

Ответ дал:
0
Спасибо))
Ответ дал:
0
пожалуйста)
Вас заинтересует
2 года назад
8 лет назад
10 лет назад
10 лет назад