Діагональ прямокутного паралелепіпеда дорівнює корінь 70дм Його ширина на 3дм більша за висоту яка на 2дм менша за довжину Знайти площу площу повноі поверхні паралелепіпеда. Помогите пожалуйста
Ответы
Ответ дал:
4
Ответ: 126 дм^2
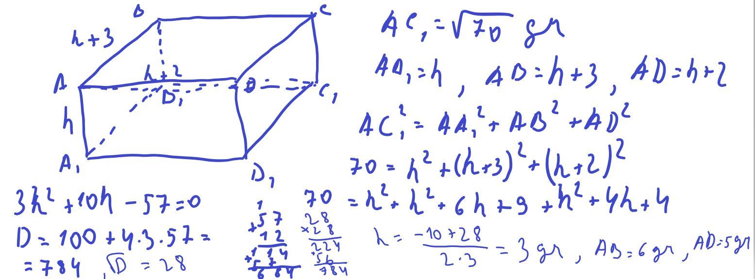
Объяснение: на рисунке
Сначала находим стороны параллелепипеда по формуле для его диагонали.
потом складываем площади всех его граней
Приложения:


kirakkkkkkkk:
Искренне Вам благодарен !!! Спасибо огромное. Отличных оценок,высоких достижений в науке ) !
Вас заинтересует
1 год назад
1 год назад
3 года назад
3 года назад
8 лет назад
8 лет назад