• Предмет: Алгебра
  • Автор: kulabukhovruslan2008
  • Вопрос задан 2 года назад

Задание в закрепе алгебра!!!

Приложения:

Ответы

Ответ дал: manyny06
0

Ответ:

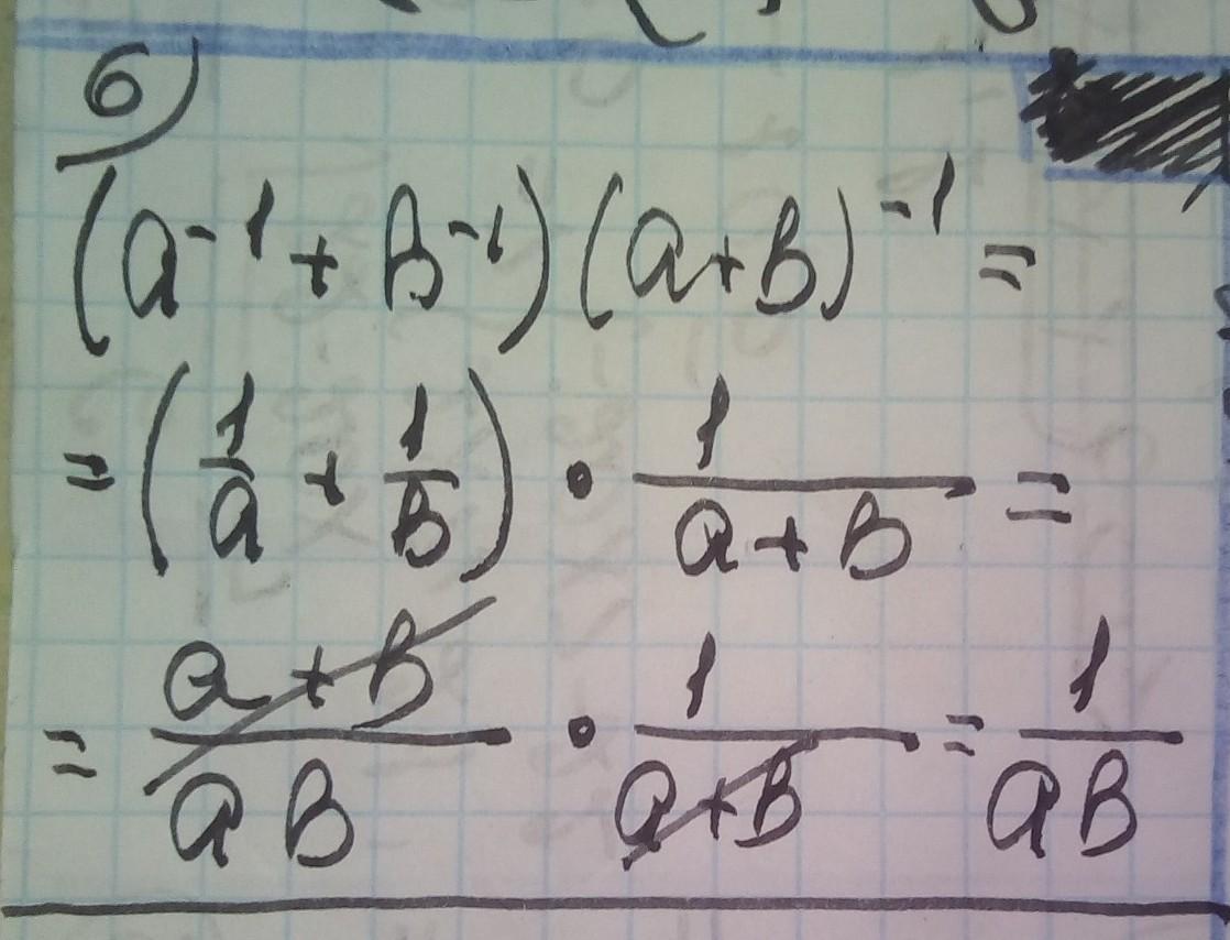
решение смотри на фотографии

Приложения:
Вас заинтересует