• Предмет: Математика
  • Автор: hasievadzemma362
  • Вопрос задан 2 года назад

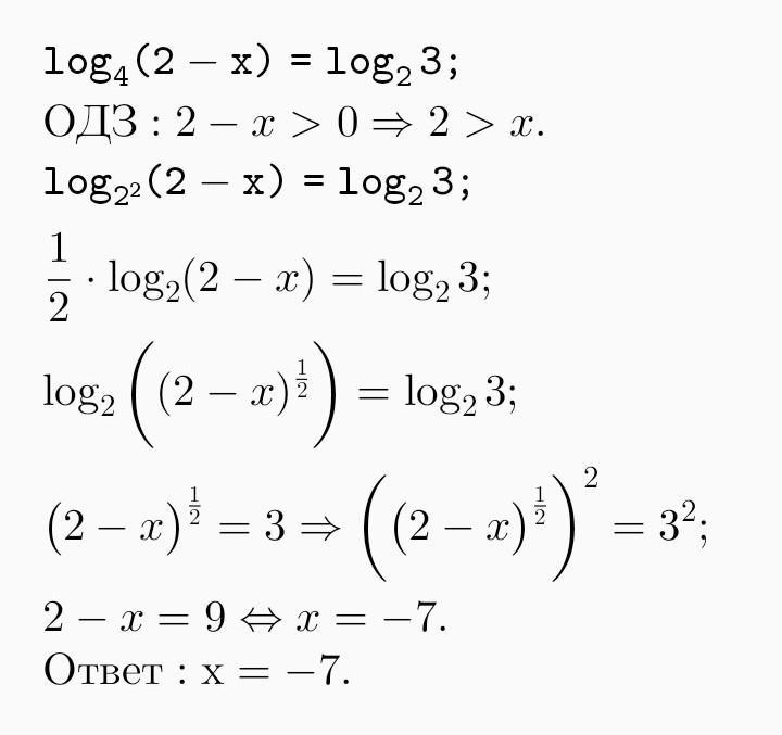
Iog4(2-x)=log23
Помогите пожалуйста

Ответы

Ответ дал: OblivionFire
2

Ответ:

-7

Пошаговое объяснение:

.......................................

Приложения:
Вас заинтересует