• Предмет: Математика
  • Автор: mmmmmx41
  • Вопрос задан 2 года назад


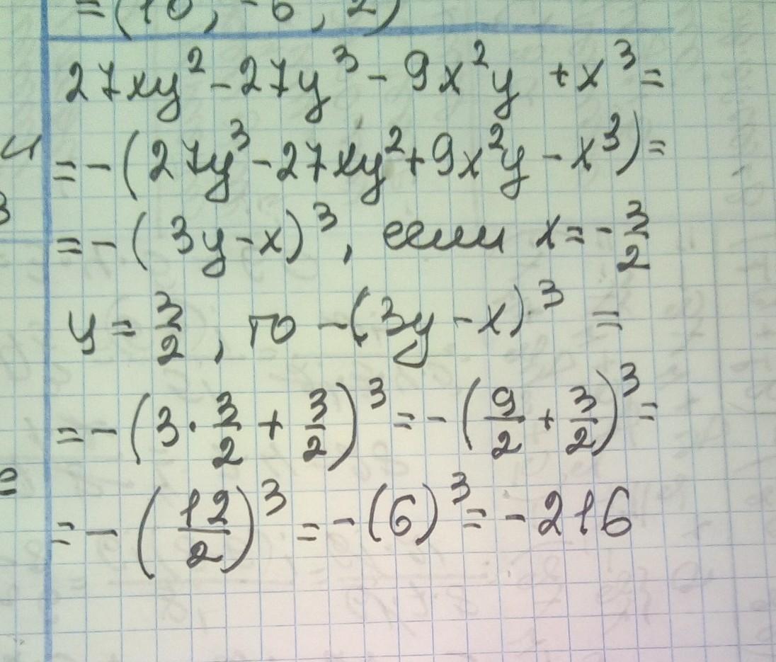
Вычислите значение выражения

27xy^2- 27y^3-9x^2у +x^3,

если x= -3/2 и y= 3/2

На заметку этот знак ^ степень

Помогите пожалуйста очень срочно надо❤️

Ответы

Ответ дал: manyny06
2

Ответ:

решение смотри на фотографии

Приложения:

mmmmmx41: Спасибо большое ☺️
Вас заинтересует