• Предмет: Алгебра
  • Автор: titarenkoelizaveta06
  • Вопрос задан 2 года назад

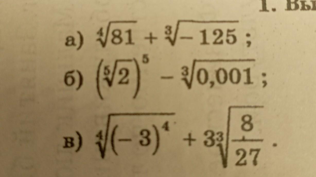
Пожалуйста помогите ​

Приложения:

Ответы

Ответ дал: viktoriana13
0

Ответ:

Это какой класс?

и какая тема?


titarenkoelizaveta06: 9 класс Корень n-й степени
Вас заинтересует