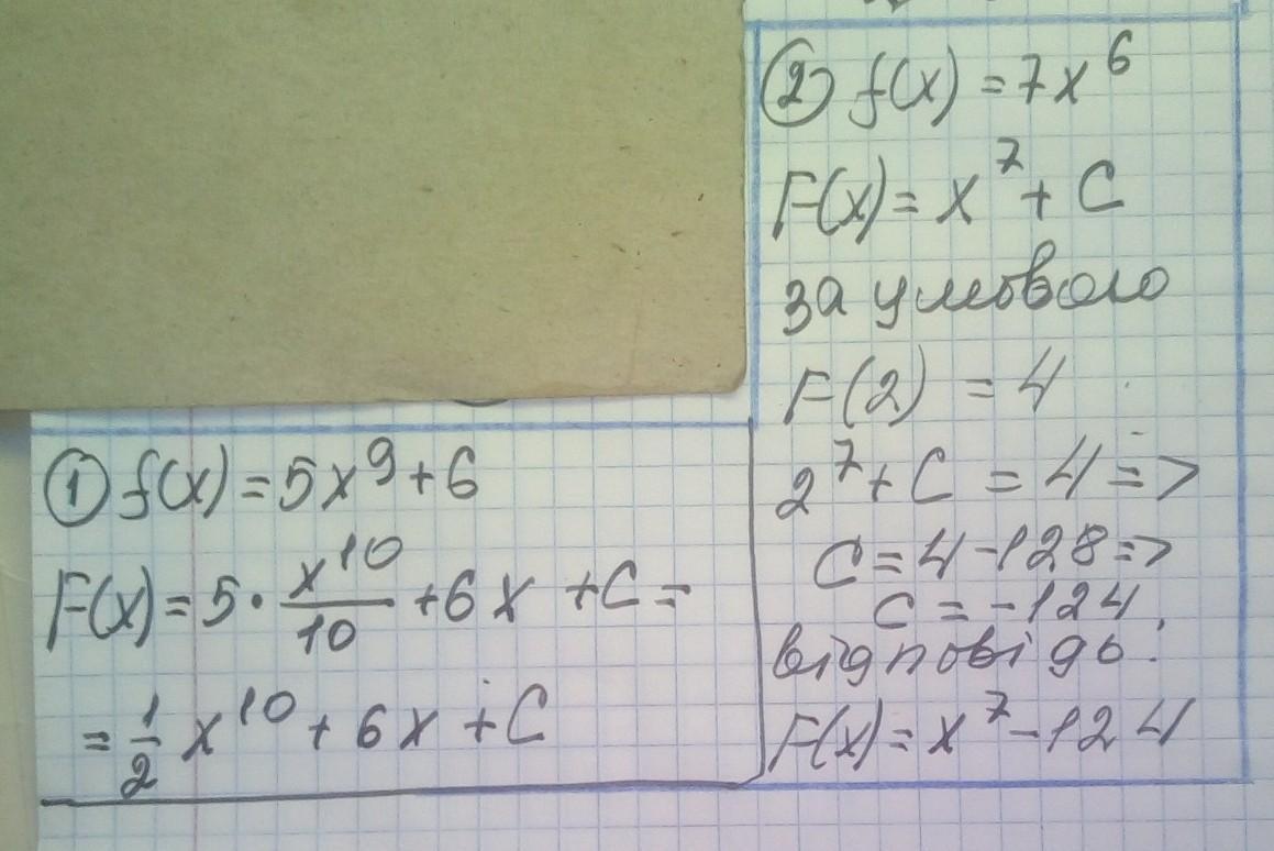
1. Знайдіть загальний вигляд первісних для функції f(x)=5x^9+6
2. Знайдіть первісну для функції f(x)=7x^6 графік якої проходить через точку М(2;4)
Ответы
Ответ дал:
0
Ответ:
решение смотри на фотографии
Приложения:

Вас заинтересует
1 год назад
1 год назад
1 год назад
3 года назад
3 года назад
8 лет назад