• Предмет: Алгебра
  • Автор: egorsigaevs85
  • Вопрос задан 2 года назад

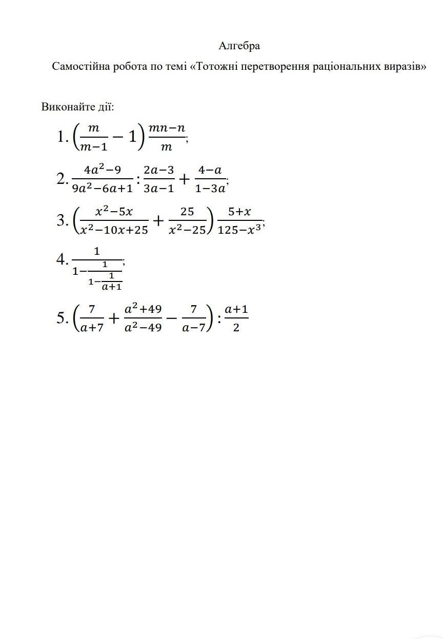
Пж срочно умоляю пж умоляю уменяпростонехватает . ​

Приложения:

Ответы

Ответ дал: gomom
0

Ответ:

1. n/m

2. 1

3. -1/(x-5)^2

4. -a

5. 2/a+1


egorsigaevs85: де поясненя
egorsigaevs85: цих виразів
Вас заинтересует