Ответы
Ответ дал:
1
Відповідь: На малюнку.
Приложения:

p15:
вот спасибо. Не могу уже исправить
Ответ дал:
1
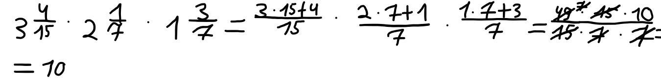
Ответ:
3 4/15* 2 1/7* 1 3/7=49/15 * 15/7 * 10/7=49/(7*7) * 15/15 * 10 = 10
Пошаговое объяснение:
Вас заинтересует
1 год назад
1 год назад
1 год назад
1 год назад
3 года назад
3 года назад
8 лет назад
8 лет назад