Ответы
Ответ дал:
0
Ответ:
Объяснение:
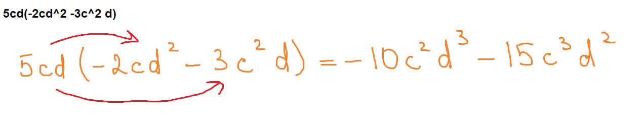
Решение в файле
Приложения:

dmitry29push:
Спс но мне нужно чтоби я копировал
Вас заинтересует
1 год назад
1 год назад
1 год назад
3 года назад
8 лет назад