• Предмет: Алгебра
  • Автор: typayareklamazn
  • Вопрос задан 2 года назад

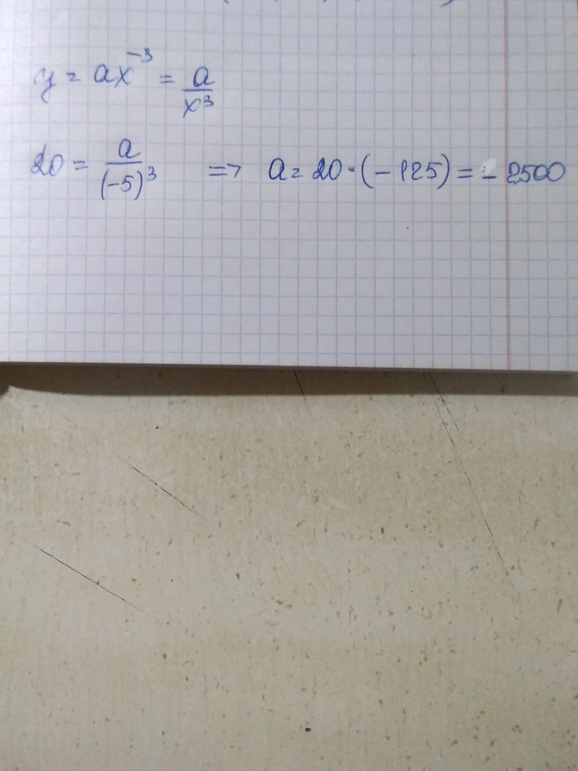
При яких значеннях а графік функції y=ax^(-3) проходить через точку А(-5;20)?

Ответы

Ответ дал: MizoriesKun
1

Смотри............................

Приложения:

typayareklamazn: А можешь пожалуйста расписать и объяснить
typayareklamazn: немного подробнее
MizoriesKun: Я просто поставила координаты из условия задачи в уравнение
MizoriesKun: Спрашивай в каком моменте не понятно
typayareklamazn: Спасибо
typayareklamazn: Уже разобрался
Вас заинтересует