• Предмет: Алгебра
  • Автор: adiachenko972
  • Вопрос задан 2 года назад

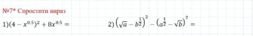
Допоможіть будь ласка ​

Приложения:

Ответы

Ответ дал: aarr04594
0

Відповідь: розв'язання завдання додаю

Пояснення:

Приложения:
Вас заинтересует