Ответы
Ответ дал:
0
Ответ:4x^13
Объяснение:2^2*x^(5*2)*x^3=4*x^10*x^3= 4x^13
kivis6808:
мені потрібно і розвязано
Ответ дал:
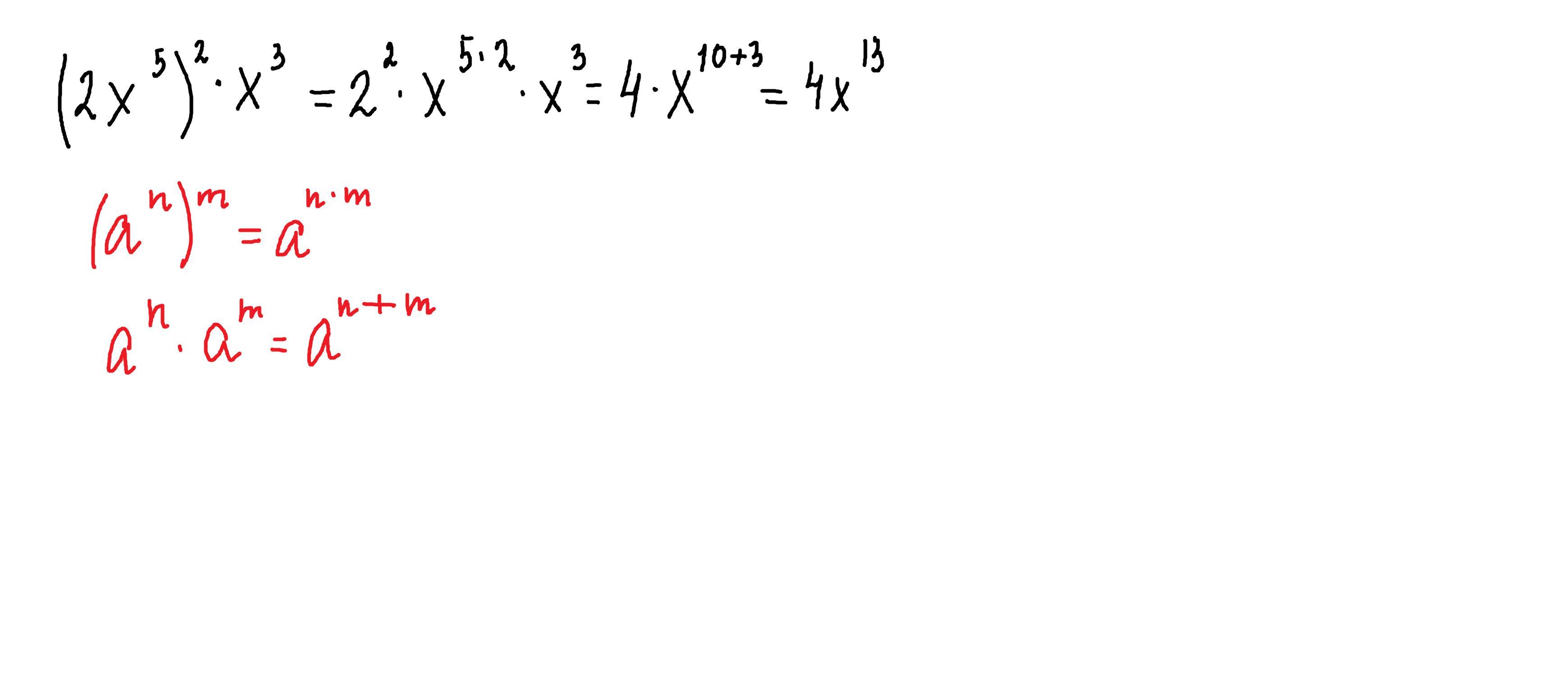
1
Ответ:
(2x⁵)²×x³=4х¹³
Объяснение:
решение внизу
Приложения:

Вас заинтересует
1 год назад
1 год назад
1 год назад
3 года назад
8 лет назад