• Предмет: Физика
  • Автор: podoluakoirina90
  • Вопрос задан 2 года назад

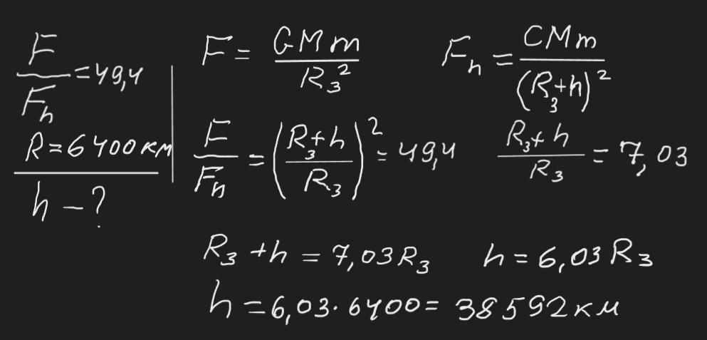
Обчисли висоту,на якій сила притягання,яка діє на тіло,буде в49,4 разів менша, ніж на поверхні Землі.Радіус Землі прийняти рівним 6400 км

Ответы

Ответ дал: zybkov1950
1

Відповідь: Див. додаток

Пояснення:

Приложения:
Вас заинтересует