• Предмет: Алгебра
  • Автор: ssvatogor55
  • Вопрос задан 2 года назад

Даю 17 Баллов!! задание по алгебре из домашней работы,(пожайлуста помогите)

Приложения:

Ответы

Ответ дал: alchetorn
1

Ответ: -3, 2, 3, 4

Объяснение:

Приложения:

ssvatogor55: спасибо
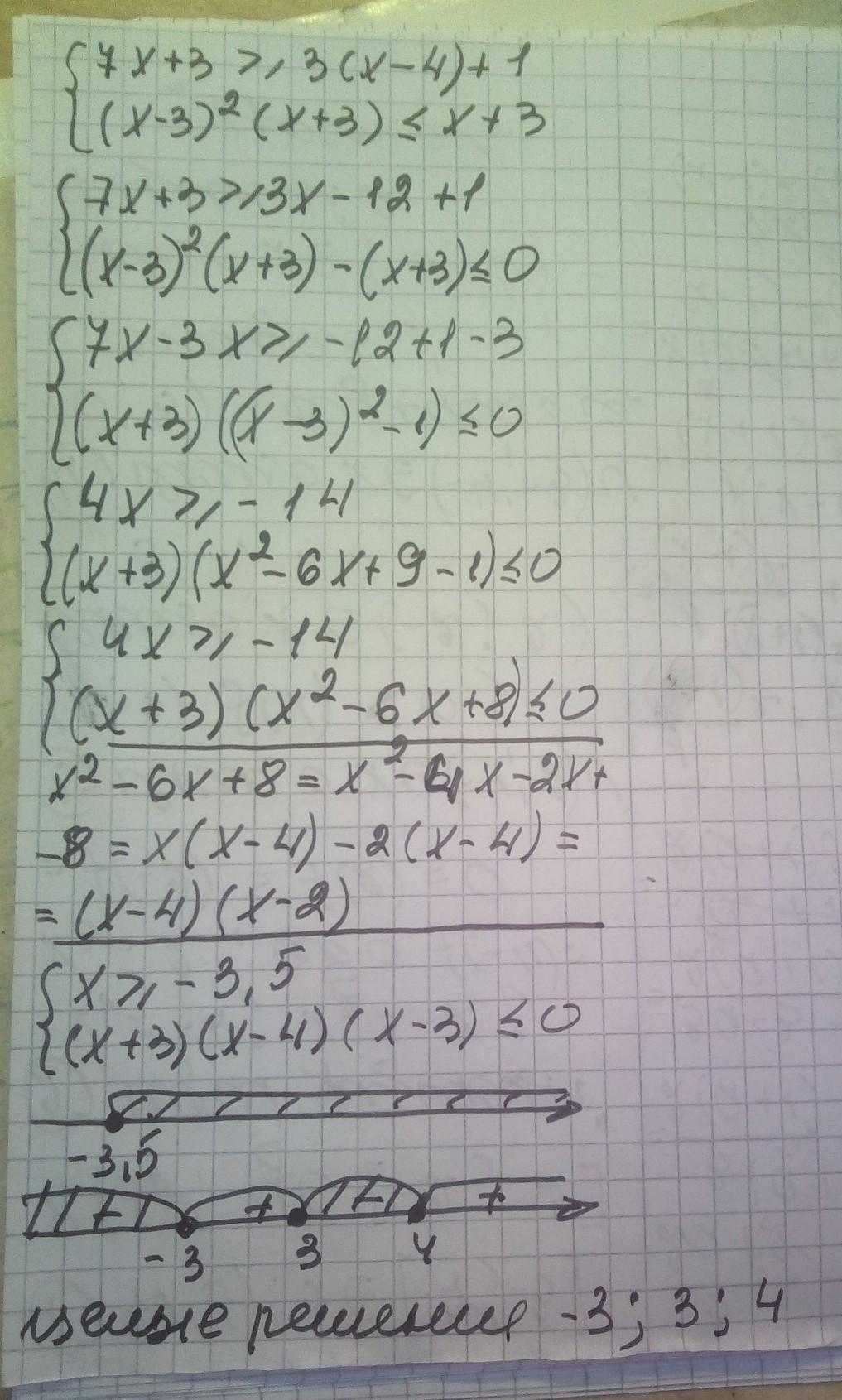
Ответ дал: manyny06
1

Ответ:

решение смотри на фотографии

Приложения:

ssvatogor55: спасибо
Вас заинтересует