• Предмет: Математика
  • Автор: katyask20012005
  • Вопрос задан 2 года назад

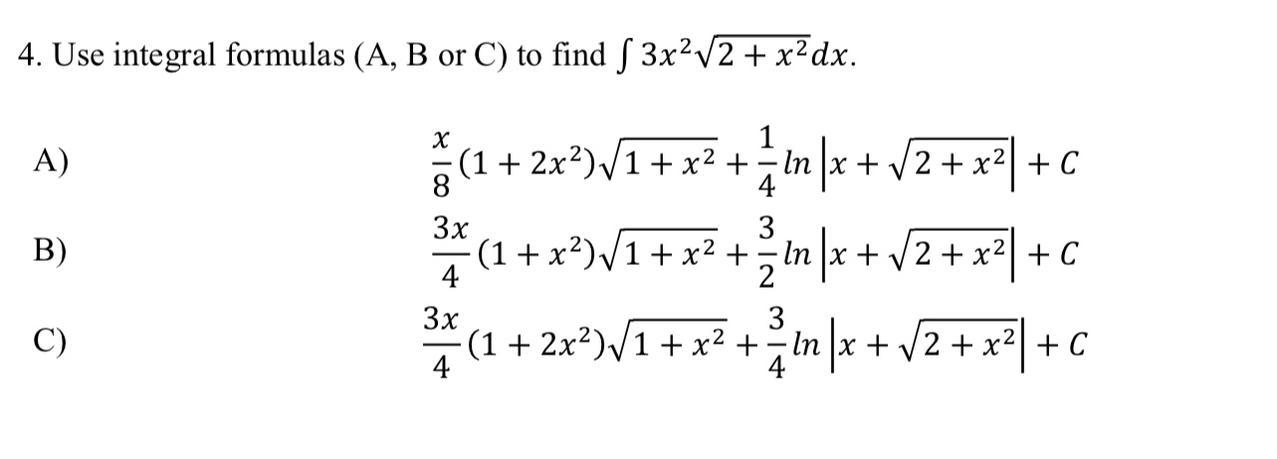
Найти интеграл :
Прошууууууу

Приложения:

Ответы

Ответ дал: HSS9860
1

Пошаговое объяснение:

посмотрите предложенный вариант; проверка не проводилась; в квадратных скобках дана необязательная часть: замены, подстановки. Похоже на ответ "С".

Приложения:
Вас заинтересует