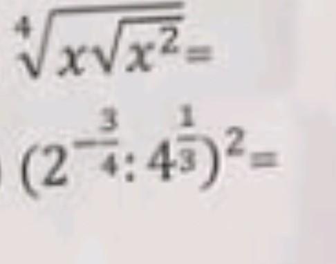
Предположим, что x>0, упростим его и запишем в виде степени с рациональным показателем
Приложения:

Ответы
Ответ дал:
0
Ответ:
решение смотри на фотографии
Приложения:

elizaveta15314:
Спасибо огромное
Вас заинтересует
1 год назад
1 год назад
1 год назад
3 года назад
3 года назад
8 лет назад