• Предмет: Алгебра
  • Автор: saduakasinkr12
  • Вопрос задан 2 года назад

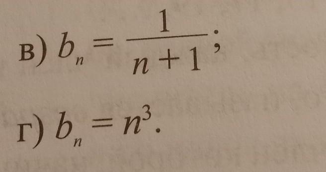
напишите 5 первых членов последовательности

Приложения:

Ответы

Ответ дал: masudaxabibullayevna
0

Объяснение:

если что-то не правильно извините

Приложения:
Вас заинтересует