• Предмет: Математика
  • Автор: mutyloopa222
  • Вопрос задан 2 года назад

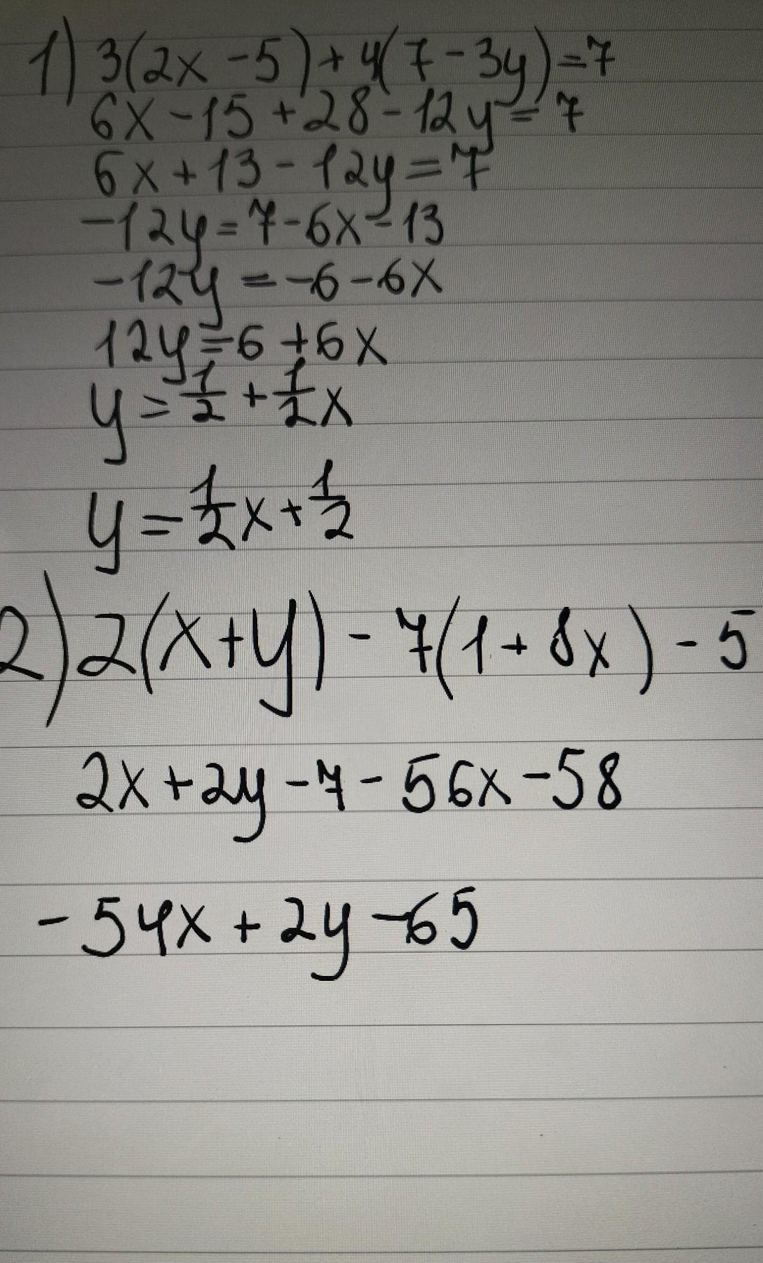
Розв’язати систему рівнянь

3(2x − 5) + 4(7 − 3y) = 7
2(4 + y) − 7(1 + 8x) = −53
пожалуйста это срочнооо

Ответы

Ответ дал: saporenkoevgenia5
0

Ответ:

не уверена..Но все возможно правильно

Приложения:
Вас заинтересует