Ответы
Ответ дал:
2
вляз ответы с сайта 4book
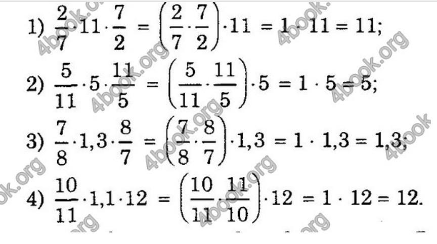
Приложения:

jaroslavadavudjuk:
Спасибо)
Ответ дал:
1
Ответ:
вот готовый ответ если тебе что-то нужно обращайся
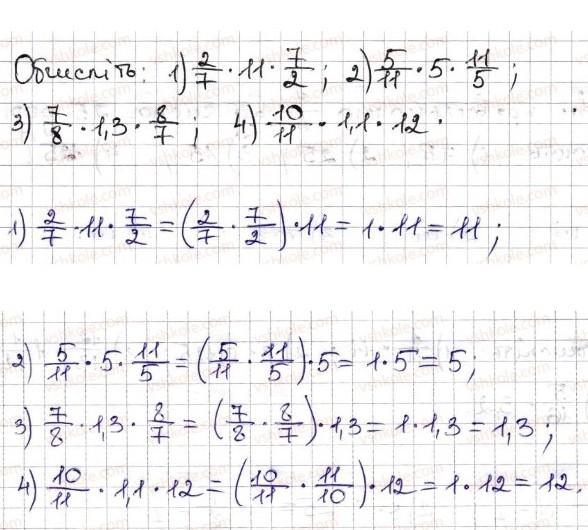
Приложения:

Вас заинтересует
1 год назад
1 год назад
1 год назад
1 год назад
3 года назад
3 года назад
8 лет назад
8 лет назад