• Предмет: Алгебра
  • Автор: ghfgueskaasiog
  • Вопрос задан 2 года назад

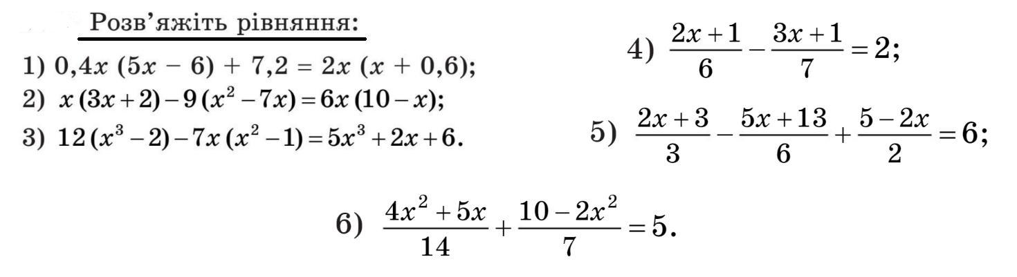
хелп ми плиз, ит ис алгебра

Приложения:

Ответы

Ответ дал: zauresturmanova848
0

Ответ:

оп оңайғой

Объяснение:

Вас заинтересует