• Предмет: Математика
  • Автор: dk122
  • Вопрос задан 2 года назад

помогите пожалуйста ​

Приложения:

Ответы

Ответ дал: vadimirtlach
1

Ответ:

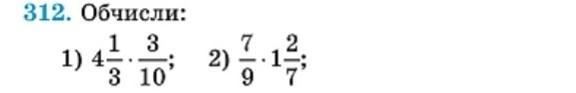
1. 13/10
2. 1

Пошаговое объяснение:

Решение на изоображение.

Приложения:
Вас заинтересует