• Предмет: Физика
  • Автор: Аноним
  • Вопрос задан 2 года назад

ПОМОГИТЕ ТЕСТ СРОЧНО
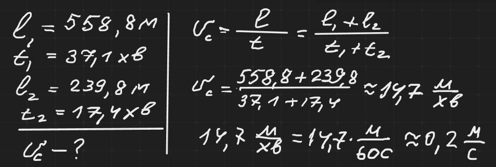
Ідучи вранці до школи, назар пройшов 558,8 м шляху за 37,1 хв, а потім ще 239,8 м за 17,4 хв. Знайди середню швидкість, з якою Назар ішов до школи у м/хв, а потім переведи цю швидкість у м/с. (Якщо потрібно результат округли до десятих).​


fredaaaa: на будущее - добавляй задания в правильные категории. это явно не физика, и явно не 10-11 классов
Аноним: я ставлю 5-9
Аноним: и это физика)
fredaaaa: физика? ого, извиняюсь, буду знать

Ответы

Ответ дал: fredaaaa
1

Ответ:

14,7 м/хв; 0,2 м/с

Пошаговое объяснение:

1) 37,1+17,4=54,5(хв) - усього прошло часу,

2) 558,8+239,8=798,6(м) - усього пройшов відстані,

3) 798,6:54,5≈14,7(м/хв)

4) 14,7:60=0,245м≈0,2(м/с)=20см


fredaaaa: а, извините, не дополнил: 14,7:60=0,245м≈0,2м≈20см
Ответ дал: zybkov1950
2

Відповідь: Див. додаток

Пояснення:

Приложения:
Вас заинтересует