• Предмет: Физика
  • Автор: Аноним
  • Вопрос задан 2 года назад

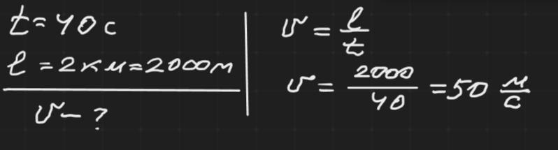
з якою швидкістю тіло за 40 с пройде шлях 2 км ?​

Ответы

Ответ дал: dimnicmaria11
1

Ответ:

v=s_t

v= 2000 м =50 м/с

40с

Ответ дал: zybkov1950
1

Відповідь: 50 м/с

Пояснення:

Приложения:
Вас заинтересует