главние мозги вы тут если да то помогите пожалуйста я не знаю как ето решить КТО ПЕРВИЙ ДАСТ ОТВЕТ ЗАКРЕПЛЮ В ЛУЧШИЕ!!!!!!!
Приложения:

Ответы
Ответ дал:
0
Ответ:
5 5/6
Пошаговое объяснение:
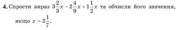
3 2/3х - 2 4/9х + 1 1/2х =
3 12/18х - 2 8/18х + 1 9/18х =
1 4/18х + 1 9/18х = 2 13/18х
х = 2 1/7
2 13/18х = 2 13/18 * 2 1/7 = 49/18 * 15/7 =
7/6 * 5/1 = 35/6 = 5 5/6
Вас заинтересует
1 год назад
1 год назад
1 год назад
1 год назад
3 года назад