• Предмет: Алгебра
  • Автор: trunovaalina15
  • Вопрос задан 2 года назад

спростити вираз эээээээээээээээээээээ​

Приложения:

Ответы

Ответ дал: damchess09
0

Ответ:

Объяснение:

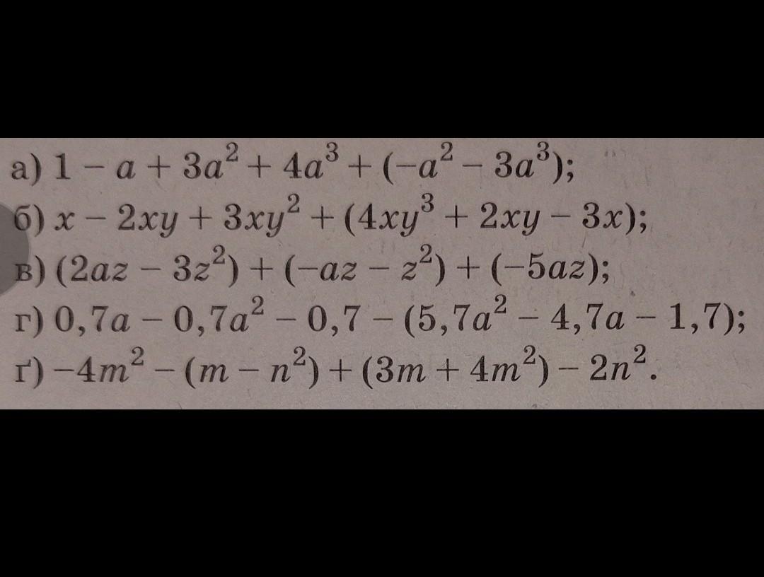
а) 1 - а + 3a² + 4a³ + (-a² - 3a³) = 1 - а + 3a² + 4a³ - a² - 3a³ = 1 - а + 2a² + a³

б) x - 2xy + 3xy² + (4xy³ + 2xy - 3x) = x - 2xy + 3xy² + 4xy³ + 2xy - 3x = -2x + 7xy³

в) (2az - 3z²) + (-az - z²) + (-5az) = 2az - 3z² - az - z² - 5az = -4az - 4z²

г) 0,7а - 0,7а² - 0,7 - (5,7а² - 4,7а - 1,7) = 0,7а - 0,7а² - 0,7 - 5,7а² + 4,7а + 1,7 = 6,4а² + 5,4а + 1

д) -4m² - (m - n²) + (3m + 4m²) - 2n² =  -4m² - m + n² + 3m + 4m² - 2n² = -n² + 2m

Ответ дал: yuriiguk529
0

а)

1-a+3a^{2} +4a^{3} +(-a^{2}-3a^{3}  )=1-a+3a^2+4a^3-a^2-3a^3=1-a+3a^2-a^2+4a^3-3a^3=1-a+2a^2+a^3=a^3+2a^2-a+1

б)

x-2xy+3xy^2+(4xy^3+2xy-3x)=x-2xy+3xy^2+4xy^3+2xy-3x=x-3x-2xy+2xy+3xy^2+4xy^3=-2x+0+3xy^2+4xy^3=4xy^3+3xy^2-2x=x(4y^3+3y^2-2)

в)

(2az-3z^2)+(-az-z^2)+(-5az)=2az-3z^2-az-z^2-5az=2az-az-5az-3z^2-z^2=az-5az-4z^2=-4az-4z^2=-4z(a+z)

г)

0,7a-0,7a^2-0,7-(5,7a^2-4,7a-1,7)=0,7a-0,7a^2-0,7-5,7a^2+4,7a+1,7=0,7a+4,7a-0,7a^2-5,7a^2-0,7+1,7=5,4a-6,4a^2+1

ґ)

-4m^2-(m-n^2)+(3m+4m^2)-2n^2=-4m^2-m+n^2+3m+4m^2-2n^2=-4m^2+4m^2-m+3m+n^2-2n^2=0+2m-n^2=2m-n^2

Вас заинтересует