• Предмет: Алгебра
  • Автор: gumanoid21
  • Вопрос задан 2 года назад

замінить зірочки такими рдночленами щоб утворилася тотожність​

Приложения:

Ответы

Ответ дал: smilingpineapple
1

Ответ:

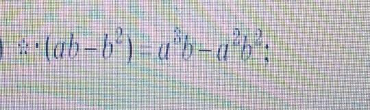
а²

Объяснение:

а²*(аb-b²)=a³b-a²b²

т.к а² просто вынесли за скобки


gumanoid21: пасиб бро
Вас заинтересует