• Предмет: Алгебра
  • Автор: pronastya563
  • Вопрос задан 2 года назад

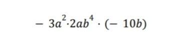
Зведіть одночлен до стандартного вигляду,укажіть його кофіціетн і степінь

Приложения:

Ответы

Ответ дал: kirillsvistun55
1

Ответ:

Кофіціент 60

Степінь a³b⁵

Повна відповідь: 60а³b⁵

Вас заинтересует