• Предмет: Математика
  • Автор: Eeeerruz
  • Вопрос задан 2 года назад

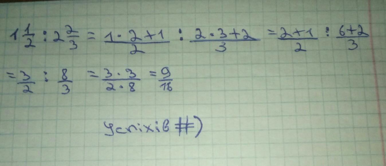
1 1/2÷2 2/3
Помогите пожалуйста


azizaolimzonova322: 11/2:2 2/3=11/2:8/3=11/2×3/8=2 1/16

Ответы

Ответ дал: lolich112
1

Решение на фотографии.

Приложения:

azizaolimzonova322: Неправильно
lolich112: правильно
lolich112: 1 целая 1/2
lolich112: а не 11 целых 1/2
azizaolimzonova322: Думай как хочешь но гнеправильно
Вас заинтересует