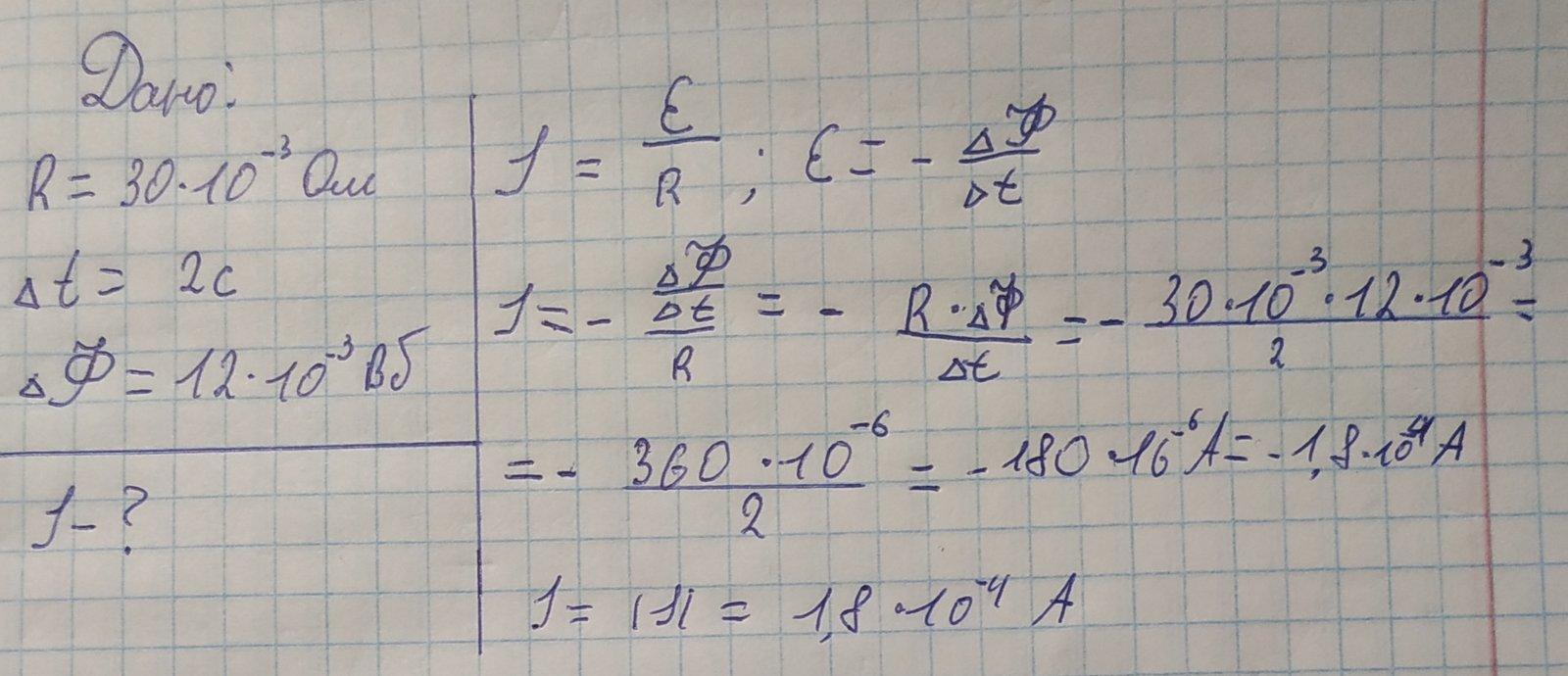
7.Магнітний потік через контур замкнутого провідника опором 30 мОм за 2 с змінюється на 12 мВб. Яка сила струму, що протікає у провіднику під час цієї зміни, якщо магнітний потік змінюється рівномірно?
Ответы
Ответ дал:
2
Ответ:
не впевнений на 100%, але здається буде так
Объяснение:
Приложения:

Вас заинтересует
1 год назад
1 год назад
1 год назад
3 года назад
3 года назад
8 лет назад