• Предмет: Алгебра
  • Автор: shatuloalona
  • Вопрос задан 2 года назад

виконайте дії a¹⁷•(a³)³ ​

Ответы

Ответ дал: dan243502
2

Ответ:

Ответ а²⁶

Объяснение:

перемножаем

а¹⁷а⁹

и плюсуем

а²⁶


shatuloalona: дякую
dan243502: не за что ;)
Ответ дал: kataga
2

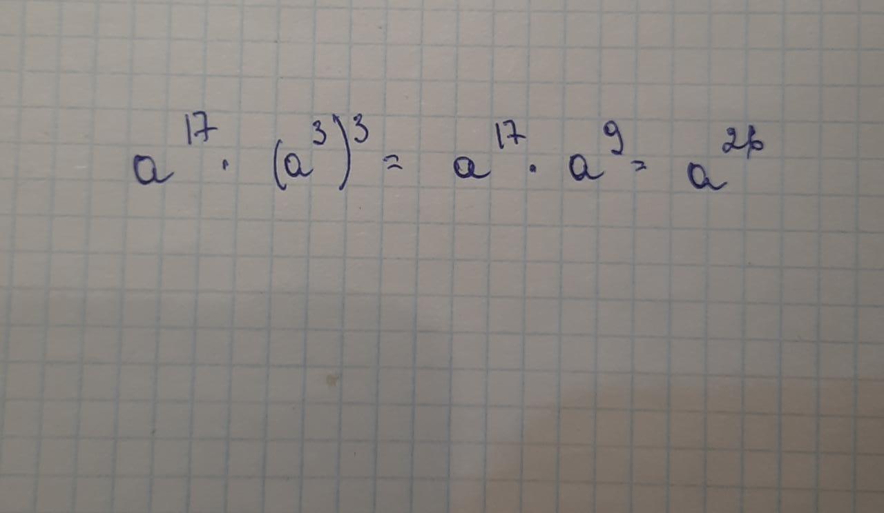
Решение смотри на фото

Приложения:

shatuloalona: дякую
Вас заинтересует