• Предмет: Алгебра
  • Автор: ladynastya08
  • Вопрос задан 2 года назад

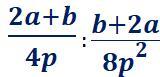
СРОЧНО ПОМОГИТЕ, СМОТРИТЕ ФОТО (ДАЮ 50 БАЛЛОВ)!

Приложения:

Ответы

Ответ дал: ybeiHE3nau
1

не достоверно,но на основе этого мона понять

Приложения:
Вас заинтересует