Бутанның толық жану реакциясында көмірқышқыл газы мен су түзіледі.
2C4H10 + 13O2 = 8CO2 + 10H2O
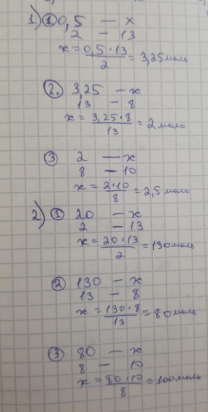
Төменде берілген кестедегі белгісіз зат мөлшерлерін анықта.
№
2C4H10
+
13O2
=
8CO2
+
10H2O
1
0,5 моль
3,25 моль
моль
2,5 моль
2
20 моль
моль
Приложения:

Ответы
Ответ дал:
7
Объяснение:
осы жауаптарды кестеге қойсан болды
Приложения:

zhunussovarlan44:
рахмет дурыс
Вас заинтересует
1 год назад
1 год назад
1 год назад
3 года назад
3 года назад
8 лет назад