• Предмет: Алгебра
  • Автор: feridebekirova27
  • Вопрос задан 2 года назад

пожалуйста............​

Приложения:

Ответы

Ответ дал: kovalova55555
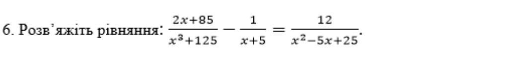
1

Ответ:

x=0

Объяснение:

Знайдемо ОДЗ: прирівняємо до 0 всі знаменники:
x^3+125=0    =>   x=-5
x+5=0           =>   x=-5    

х^2-5x+25=0      (вираз не визначений на множині чисел)
тобто х може буди будь-яким , окрім -5 (бо значенник не повинен =0 )

Перенесемо вираз у правій частирі, у ліву.
(2х+85)/(x^3+125)-1/(x+5)-12/(x^2-5x+25)=0
Зводимо до спільного знаменника:
(2х+85)-1*(x^2-5x+25)-12(x+5)/((x+5)*(x^2-5x+25))=0
Розкриваэмо дужки у чисельнику, зводимо подібні та отримуємо:

(-5х-x^2)/((x+5)*(x^2-5x+25))=0

У чисельнику можемо винести за дужки -х :

-х*(5+х)/((x+5)*(x^2-5x+25))=0

5+х можна скоротити та вийде:
-х/(x^2-5x+25)=0

Помножимо дріб на (-1) , щоб прибрати мінус біля х:
х/(x^2-5x+25)=0

Коли частка двох виразів дорівнює 0, чисельник має бути рівним 0 :
х=0

Звіряємося з ОДЗ, чи є там такий варіант.
ні , не має є тільни -5, тому відповідь х=0


feridebekirova27: чел, можешь пожалуйста объяснить и 5 ещё ( в моём профел)
kovalova55555: в твоем профеле на все попросы дан ответ (кинь сюда ссылку, но какий именно , может я не увидила)
feridebekirova27: ПЛИИИИИЗЗЗЗЗ РАЗВЯЖИТЕ..........,......,​
https://znanija.com/task/50764890?utm_source=android&utm_medium=share&utm_campaign=question
kovalova55555: тебе дали решение , посмотри ниже, там скрины. В чем суть. Если решить это уравнение то оно даст 0, то есть при любом значении х , всегда будет выхить 0.
перепиши то что тебе вкинули и подставь для проверки вместо х например 1 и у тебя в конце выйдет тоже 0
Вас заинтересует