• Предмет: Математика
  • Автор: Аноним
  • Вопрос задан 2 года назад

ДАМ 20 БАЛОВ..........​

Приложения:

Ответы

Ответ дал: Cheetan2012
0

Ответ:

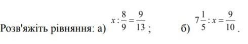
а) х+8/9=9/13

х=5/9

Пошаговое объяснение:

Вас заинтересует