• Предмет: Математика
  • Автор: Аноним
  • Вопрос задан 2 года назад

ХЕЛП ПЖЖПППЖПЖПЖПЖПЖПЖППЖ​

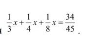
Приложения:

Ответы

Ответ дал: andreypopov2628007
0

Ответ:

x = 16/15 = 1;1/15

Пошаговое объяснение:

Вас заинтересует