• Предмет: Геометрия
  • Автор: BorysBoch
  • Вопрос задан 2 года назад

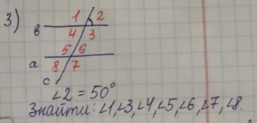
Кут 2 = 50 градусів
Знайдіть кути 1,3,4,5,6,7,8

Приложения:

Ответы

Ответ дал: kolmogorovarada
0

Ответ:

я не украинка ‍♀️ вддвбсдчючюєябч


BorysBoch: переводчик для кого?
Вас заинтересует