• Предмет: Математика
  • Автор: kudzodzotaro516
  • Вопрос задан 2 года назад

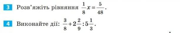
Помогите кто нибудь решить!!​

Приложения:

Ответы

Ответ дал: mironenkozarema59
1

Ответ:

1/8 х = 5/48

1/8+5/48= 6/56


mironenkozarema59: помогите пожалуйста по математике стр 535 номер 534
Ответ дал: aizaraa
1
Ответ ниже………………………..
Приложения:

mironenkozarema59: Эй брат русский или Казахстан ты живёшь в Казахстане или в России
Вас заинтересует