• Предмет: Математика
  • Автор: darinamaksatovna2020
  • Вопрос задан 2 года назад

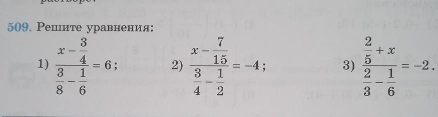
№509
Решите уравнение ​

Приложения:

Ответы

Ответ дал: rmarat001
1
1:12
2:-8
3:-4
Вот так решится ответ
Вас заинтересует