• Предмет: Алгебра
  • Автор: evaketb123
  • Вопрос задан 2 года назад

СРОЧНО ДАЮ 40 БАЛОВ

помогите пожалуйста

Приложения:

Ответы

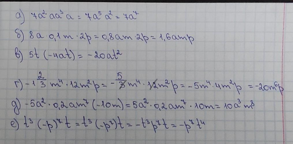
Ответ дал: sqofiia
1

Відповідь:

Пояснення:

Приложения:

evaketb123: почерк шикарный
sqofiia: дякую
evaketb123: можешь еще помочь за 30?
sqofiia: смотря что там
evaketb123: щас выложу
evaketb123: даже 50 дам
sqofiia: давай гляну
evaketb123: все смотри
Вас заинтересует