• Предмет: Алгебра
  • Автор: kol9rakmaster
  • Вопрос задан 2 года назад

Решите пожалуйста. Буду очень благодарен.

Приложения:

olenakorbok: Пиши в інст coralli_ua дам відповідь+пояснення

Ответы

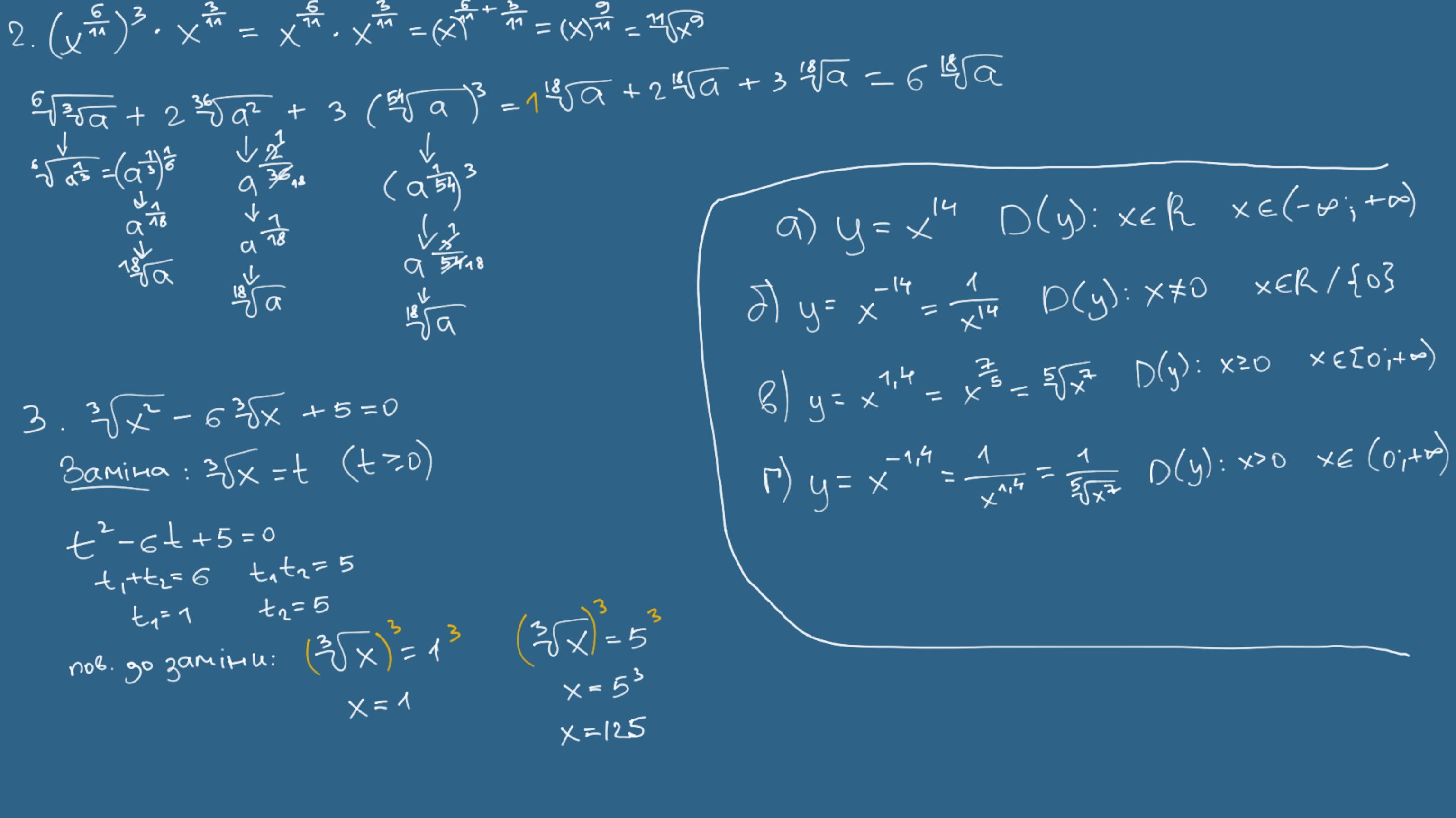
Ответ дал: maydoncute
0

відповіді на фотографії

Приложения:
Вас заинтересует