• Предмет: Алгебра
  • Автор: karinatimcenko502
  • Вопрос задан 2 года назад

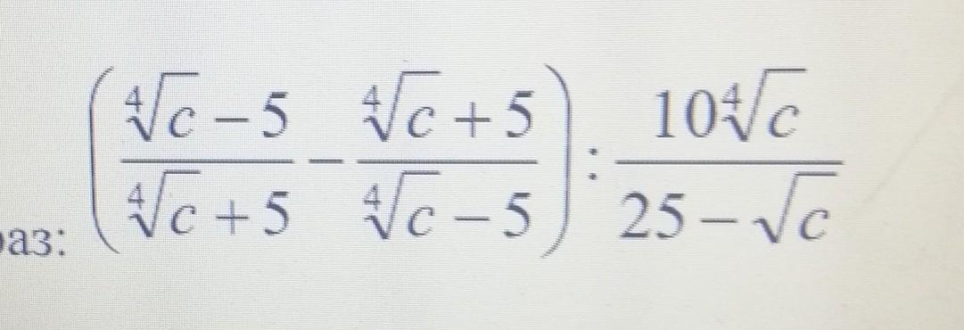
Спростіть вираз.... ​

Приложения:

Ответы

Ответ дал: manyny06
1

Ответ:

решение смотри на фотографии

Приложения:
Вас заинтересует