• Предмет: Математика
  • Автор: evgeniaburdejnaa
  • Вопрос задан 2 года назад

Помогите пожалуйста, очень срочно нужно ❤️
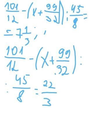
8 5/12 - (x + 3 3/32) / (5 5/8) = 7 1/3

Приложения:

Ответы

Ответ дал: jdjdjfjdjsmdkcjj7383
0

Ответ:

на фото все є........................

Приложения:
Вас заинтересует