Ответы
Ответ дал:
1
Ответ:
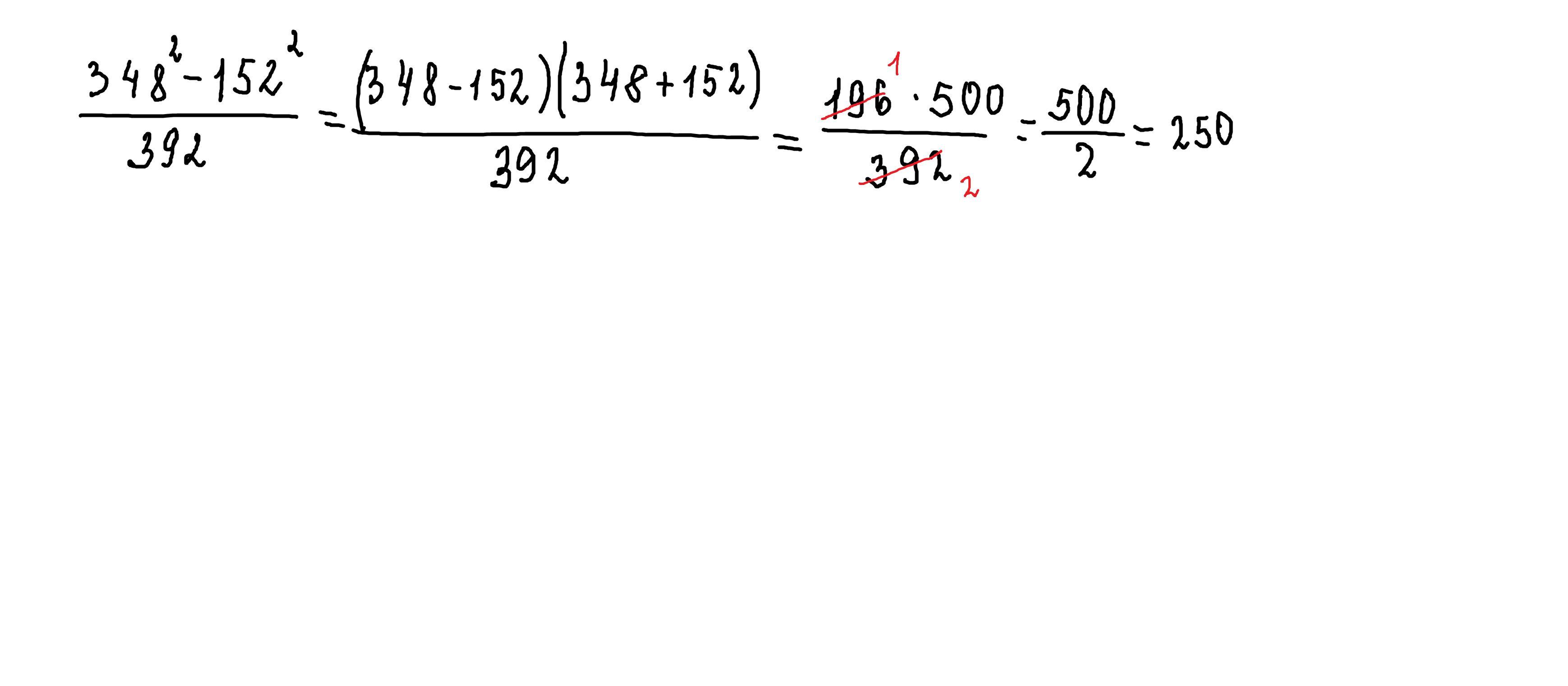
250
Объяснение:
в числителе применяем формулу а² - в²=(а-в)(а+в)
Приложения:

Вас заинтересует
1 год назад
1 год назад
1 год назад
8 лет назад